Lo studio della stabilità dei pendii in frana, e degli eventuali interventi di stabilizzazione, rappresenta senza dubbio uno dei problemi più complessi che l’ingegnere geotecnico si trova a dover affrontare.
In particolare, il progetto di un intervento di drenaggio presenta notevoli difficoltà e incertezze, date dalla distribuzione delle pressioni neutre nel terreno, dalla presenza di discontinuità e dall’anisotropia dei terreni nei riguardi della permeabilità, per cui il dimensionamento di questi interventi è spesso improntato su un sostanziale empirismo.
L’articolo si propone di fornire al progettista elementi di base utili per il dimensionamento di un sistema di trincee drenanti.
Stabilizzazione di pendii in frana mediante sistemi di drenaggio
Le condizioni di stabilità di un pendio sono in genere espresse mediante il rapporto tra la resistenza al taglio disponibile τf=c’+σ’tanφ’ e lo sforzo di taglio τm agente sulla superficie di scorrimento.
CONDIZIONI DI STABILITA’ → FS = τf / τm

Figura 1 – Schema pendio
Un miglioramento delle condizioni di stabilità di un pendio può essere ottenuto da un incremento della resistenza al taglio τf, o dalla riduzione dello sforzo di taglio τm.
Un incremento della resistenza si può ottenere quindi tramite un incremento delle tensioni efficaci, normali alla superficie di scorrimento, ad esempio tramite una riduzione delle pressioni interstiziali.
RIDUZIONE DI u → INCREMENTO DI σ’ = σ – u → INCREMENTO DI τf
Se il problema dell’instabilità di un pendio è dipendente interamente, o anche in parte, dalla presenza di pressioni neutre, un intervento possibile per migliorarne le condizioni di sicurezza è la realizzazione di un sistema di drenaggio.
Un sistema di drenaggio è costituito da un sistema di trincee, fori, pozzi o gallerie, la cui geometria e l’elevata permeabilità dei materiali consentono l’allontanamento dell’acqua, drenata dal terreno circostante.
In particolare, un sistema di drenaggio a gravità produce l’annullamento delle pressioni interstiziali all’interfaccia tra il sistema e il terreno, modificando così l’equilibrio della distribuzione delle pressioni interstiziali, il che innesca un moto di filtrazione che termina solo al raggiungimento delle condizioni stazionarie, e quindi delle nuove condizioni al contorno.
Efficienza di un sistema di drenaggio
La realizzazione di un sistema di drenaggio non deve essere confusa con un intervento mirato all’abbassamento del livello di falda, o al prosciugamento del terreno, è infatti sufficiente modificare le condizioni del flusso in modo che le pressioni interstiziali si riducano.
L’efficienza di un sistema drenante non è quindi legata alla quantità d’acqua allontanata, ma alla variazione di pressione interstiziale prodotta.
Uno degli interventi di drenaggio più comunemente usati sono le trincee drenanti.
Trincee drenanti
Le trincee drenanti sono utilizzate per la stabilizzazione di frane superficiali di carattere traslazionale, frequenti in genere in pendii poco acclivi in terreni coesivi, e per le quali spesso altri interventi risultano impossibili o economicamente non convenienti.

Figura 2. Sezione trincea drenante
La funzione drenante delle trincee viene esplicata dal materiale di riempimento, generalmente costituito da terreno a grana grossa, in modo tale da avere una elevata differenza di permeabilità tra il terreno circostante e il materiale di riempimento.
Esecuzione
La larghezza alla base delle trincee è in genere compresa tra (0,5 ÷ 1) m, e dipende principalmente dal mezzo utilizzato per lo scavo, così come la massima profondità raggiungibile, che deve essere almeno pari a quella della superficie di scorrimento.
Le trincee possono essere superficiali, con profondità fino a (4 ÷ 5) m, o profonde, e in questo caso possono arrivare anche a 25 m di profondità.
Operativamente, se si prevede di lavorare all’interno delle trincee, è necessario valutare la stabilità delle pareti di scavo, per profondità maggiori ai 2 m, ed è buona norma limitare il più possibile il tratto di scavo, e riempirlo rapidamente.

Figura 3. Installazione tipo di una trincea in un pendio indefinito
Le trincee drenanti devono essere realizzate longitudinalmente al pendio, nella direzione monte-valle, ed è importante ricordare che queste devono essere costruite a partire da valle, in modo tale da poter allontanare l’acqua senza realizzare ulteriori interventi.
Un adeguata realizzazione di una trincea prevede la presenza di un filtro in geotessile che separi il materiale a grana grossa di riempimento, dal terreno circostante, evitando così che il trasporto di materiale fine intasi la trincea.
Fasi di realizzazione
Le fasi di posa di una trincea drenante possono differenziarsi a seconda della tecnologia utilizzata dall’azienda che esegue i lavori, e dalla geometria scelta in fase di dimensionamento, ma in genere si distinguono in:
- Scavo con mezzi meccanici partendo da valle
- Posa del geotessile
- Stesura del letto di ghiaia e posa del tubo finestrato
- Riempimento con materiale drenante
- Copertura con materiale impermeabile
Dimensionamento
Il dimensionamento di un sistema di drenaggio in generale è fatto con riferimento ad un valore del fattore di sicurezza FS∞ detto fattore di sicurezza a regime, che è il valore che si vuole raggiungere partendo dall’FS0, ovvero il fattore di sicurezza in condizioni iniziali.
FS0 = fattore di sicurezza in condizioni iniziali (prima dell’intervento)
FS∞ = fattore di sicurezza in condizioni di regime
Non è importante solo verificare che sia possibile raggiungere l’FS∞ con l’intervento, ma è necessario verificare dopo quanto tempo l’intervento cominci ad essere efficiente.
Ad esempio, se si ha un pendio con FS0 = 1 iniziale, la cui instabilità è dovuta alla presenza delle u, e si prevede che con un sistema di trincee si possa arrivare ad un FS∞ = 1,5, valore che teoricamente si raggiunge “all’infinito”, è necessario verificare se in tempi brevi è possibile raggiungere un valore intermedio che garantisca un certo grado di sicurezza.
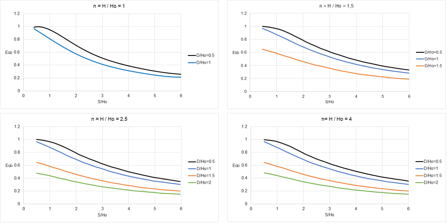
Per la soluzione numerica del problema si fa riferimento a degli abachi, in cui i risultati sono elaborati in termini di efficienza idraulica a regime media E∞.
L’efficienza idraulica media a regime E∞ è calcolata come:
E∞= ΔFS∞ / ΔFSmax
Quindi come il rapporto tra la variazione del fattore di sicurezza a regime, e la variazione del fattore di sicurezza massimo, dove quest’ultimo, FSmax, è valutato considerando la stabilità del pendio asciutto (u = 0).
Lo schema di riferimento per la valutazione dell’efficienza è il seguente:

Figura 4. Schema di riferimento trincee drenanti
In cui: B e Ho rappresentano larghezza e profondità della trincea, S l’interasse, e H = n · Ho è la profondità dello strato impermeabile.
Abachi per il calcolo dell’interasse
La soluzione dipende dai rapporti S/Ho, B/Ho e H/Ho = n.
Per il rapporto n = H/Ho sono stati considerati quattro valori n = 1 – 1,5 – 2 – 4 ( per valori n > 4 i risultati differiscono di poco), mentre, tenendo conto degli interassi frequentemente utilizzati, si sono considerato valori del rapporto S/Ho variabili da 1 a 6.
I risultati si riferiscono ad un terreno con permeabilità isotropa (kh = kv), ma possono anche essere utilizzati per il caso di terreni anisotropi nei riguardi della permeabilità (kh ≠ kv), per i quali si calcola un interasse fittizio S*= S · √(kv/kh).
Negli abachi mostrati di seguito i valori dell’efficienza media a regime E∞ sono stati valutati su quattro piani orizzontali posti a diverse profondità D dal P.C. ovvero D/Ho = 0,5 – 1 – 1,5 – 2, in funzione del rapporto S/Ho, e quindi dell’interasse S, e della profondità dello strato impermeabile n = H/Ho.

Figura 5. Abachi Efficienza – rapporto S/Ho
Calcolo dell’interasse
Dagli abachi in Figura 5 è possibile ricavare l’interasse, vediamo come fare con un esempio:
Consideriamo un pendio in frana con fattore di sicurezza iniziale pari a FSo = 1,01, per il quale abbiamo calcolato un FSmax = 2,13 relativo alle condizioni di pendio asciutto, e per il quale sono richieste delle condizioni di sicurezza di FS∞ = 1,50.
Il pendio presenta una superficie di scorrimento alla profondità H = 5 m, e si prevede di realizzare un sistema di trincee drenanti fino alla formazione di base, quindi con Ho = 5 m, per cui si avrà che n = H/Ho = 1.
L’incremento massimo del fattore di sicurezza è : ΔFSmax = FSmax – FSo = 1,12
Mentre l’incremento del fattore di sicurezza in condizioni di regime è: ΔFS∞ = FS∞ – FSo = 0,49
A cui corrisponde un valore di efficienza idraulica media a regime E∞= ΔFS∞ / ΔFSmax = 0,44
Volendo valutare il valore l’efficienza idraulica alla profondità D = 5 m, si fa riferimento all’abaco relativo a n = 1, e considerando la curva D/Ho = 1, si ottiene un valore di S/Ho = 2,7, e quindi un interasse di S = 13,5 m:

Figura 6. Calcolo del rapporto S/Ho
Come già detto, nel progetto delle trincee drenanti non è importante solo ricavare il valore dell’interasse, ma valutare anche dopo quanto tempo l’intervento comincia praticamente ad essere efficace.
Ricorda di visitare il portale Geoapp, che con la sua offerta di oltre 40 applicazioni, è la più grande suite del web per elaborazioni tecniche online. Sul portale troverai un’applicazione in grado di effettuare il dimensionamento completo per un intervento di trincee drenanti!
Abachi per il calcolo del fattore tempo
Una valutazione dei tempi necessari affinché le trincee drenanti diventino efficienti può essere fatta utilizzando i seguenti abachi, in cui è mostrata la variazione del fattore tempo T50 e T90, necessari al raggiungimento di un efficienza idraulica rispettivamente del 50% e del 90% di quella finale E∞.

Figura 7. Abachi per il calcolo del fattore tempo
Gli abachi si riferiscono a valori di n = 1, nel quale si può procedere al calcolo sia del T50 che del T90, e a n = 2,5, in questo caso due abachi separati per T50 e T90.
N.B. Negli abachi del fattore tempo l’asse delle ordinate è in scala logaritmica! Il fattore tempo è valutato con la seguente espressione: 
Figura 8. Formula fattore tempo
dove: k = coefficiente di permeabilità del terreno da drenare, E = modulo di Young terreno, ν = coefficiente di Poisson, γw = peso dell’unità di volume dell’acqua
Calcolo del fattore tempo
Per valutare il fattore tempo T50, facciamo riferimento all’abaco relativo a n = 1, considerando la curva D/Ho = 1.
Entrando con il valore prima ricavato di S/Ho = 2,7, si ottiene un valore di T50 = 0,07.

Figura 9. Calcolo del fattore tempo T50
Continuando con l’esempio di prima, ammettiamo di voler calcolare il tempo necessario al raggiungimento del 50% dell’efficacia.
Considerando ad esempio un terreno isotropo nei confronti della permeabilità, con kh = kv = 6 · 10-6 m/s, un modulo d Poisson ν = 0,25 e un modulo di Young E = 2500 kPa, è possibile calcolare dopo quanto tempo si raggiunge un efficienza del 50% con la seguente formula:
t50 = [2 · (1+ν) · (1-2·ν) · γw · Ho2 / E · k ] · T50
in questo caso si ottiene un t50 = 5,6 mesi
Usando le formule viste in precedenza è possibile ricavare il fattore di sicurezza FS(t50) corrispondente al tempo appena calcolato:
E(t50) = 0,5 · E∞ = 0,22
ΔFS(t50) = E(t50) · ΔFSmax = 0,22 · 1,12 = 0,24
Allora, il fattore di sicurezza dopo 5,6 mesi dall’intervento sarà pari a FS(t50) = FS0 + ΔFS(t50) = 1,01 + 0,24 = 1,25
(Un calcolo analogo può essere fatto con riferimento al T90)
Bibliografia:
Il contenuto dell’articolo sulle trincee drenanti è stato tratto da: A. Desideri, S. Miliziano, S. Rampello. Drenaggi a gravità per la stabilizzazione dei pendii. Hevelius Edizioni
Su GoMeeting, è disponibile un corso di formazione sul consolidamento dei versanti mediante trincee drenanti, clicca sul titolo per accedere al corso: Un approccio di calcolo numerico per il consolidamento dei versanti mediante la realizzazione di trincee drenanti – 2 Crediti CFP



0 risposte su "Trincee drenanti, dimensionamento e calcolo"