In questo articolo, ci si pone il problema di come funzioni la rappresentazione cartografica su un piano, ovvero cosa succede quando si proietta un punto o altra forma geometrica da una superficie curva (ellissoide) su un piano.
Le deformazioni cartografiche
Come detto, il passaggio da superficie non piana (ellissoide) a piana, produrrà inevitabilmente delle deformazioni sia di angoli che di lati introducendo le cosiddette deformazioni cartografiche. Quest’ultime, nella realizzazione della carta, vengono minimizzate il più possibile. Le deformazioni si suddividono in:
- Deformazioni lineari (lunghezze);
- Deformazioni angolari (angoli);
- Deformazioni superficiali (aree).
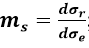
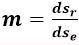
Esse vengono quantificate attraverso i moduli di deformazione che è mette in relazione l’elemento infinitesimo sul piano e il corrispondente elemento infinitesimo sulla superficie oggettiva rappresentata (ellissoide). Se applichiamo un elemento lineare, areale e angolare otterremo:
- Modulo di deformazione lineare:
;

- Modulo di deformazione superficiale:
;

- Modulo di deformazione angolare: =tan δ dove δ è la deformazione angolare data da αr-αe, che sono rispettivamente l’azimut dell’elemento infinitesimo sull’ellissoide che forma col meridiano e l’angolo del corrispondente elemento che si forma con la trasformata del meridiano, ottenendo così
.
In base alla variazione dei suddetti moduli si avranno:
- Carte conformi o isogone: il modulo di deformazione lineare varia da punto a punto, ma non varia in uno stesso punto al variare della direzione dell’elemento. La deformazione angolare è nulla;
- Carte equivalenti: il modulo di deformazione superficiale è unitario su tutta la carta;
- Carte afilattiche: Ammettono tutte tre i tipi di deformazione, ma distribuite in modo da renderle minime. Non sono una classe di carte ben definita.
Le proiezioni: i vari modi di rappresentazione cartografica
Nel passare da una superficie tridimensionale ad un piano, vi sono dei metodi che vengono definite come proiezioni cartografiche, cioè un insieme di regole che permettono di riportare sul piano della carta ogni punto della superficie terrestre rappresentata.
Le rappresentazioni possono essere classificate in:
- Proiezioni geometriche pure, che a loro volta vengono distinte in:
- Proiezioni prospettiche: si basano sul principio della prospettiva in cui si proietta un punto dell’ellissoide su un piano da un punto di vista o centro di proiezione:

In base dell’orientamento dell’ellissoide rispetto al centro e rispetto alla superficie di proiezione:

-
- Proiezioni per sviluppo: in queste proiezioni si proiettano i punti dell’ellissoide su una superficie che può essere un cono o un cilindro, secante o tangente la superficie matematica della Terra:

Si dividono a sua volta in:
-
-
-
- Dirette: l’asse di sviluppo coincide con quello terrestre:
-
-

Proiezione cilindrica diretta
-
-
-
- Inversa: se l’asse del cilindro o del cono risulta normale all’asse terrestre:
-
-

Proiezione cilindrica inversa
-
-
-
- Trasverse: per qualsiasi altra posizione intermedia
-
-

Proiezione conica pura
- Proiezioni geometriche modificate;
- Proiezioni analitiche.
Le proiezioni più utilizzate
Le proiezioni più famose (e più usate) sono:
- Mercatore: è una cilindrica diretta di tipo conforme, la Terra è proiettata su un cilindro con il suo asse coincidente con quello di rotazione terrestre; i meridiani si proiettano sul cilindro lungo le sue generatrici per cui sono rappresentati da fasci di rette tra loro parallele. I paralleli si proiettano sul cilindro secondo sezioni rette che sul piano appaiono come rette paralleli ortogonali all’asse del cilindro stesso, mentre la loro distanza è fissata analiticamente per imporre la rappresentazione conforme:

- Lambert: è di tipo conica conforme e viene utilizzata per la cartografia di piccola scala (1:500.000 o minore). I meridiani formano un fascio di rette (rette passanti per uno stesso punto: il polo) e i paralleli sono ortogonali ad esse e sono di forma circolare;
- Polare: è un tipo di sviluppo prospettico e il piano è tangente al polo. È utilizzata in sostituzione della Mercatore per alte latitudini, in quanto quest’ultima presenta forti deformazioni.

- Cassini-Soldner: venne utilizzata dal Catasto italiano dalla fine del XIX secolo. Il territorio nazionale è stato suddiviso in più zone di limitata estensione (70-100 Km) difficile da collegare, è stato adottato un sistema policentrico, è afilatica ma ha la caratteristica di essere equidistante lungo l’asse x (meridiano origine) ed in tutte le direzioni ad esso:

- Sanson-Flamsteed (o naturale): fu utilizzata per realizzare i primi fogli a scala 1:100.000 in Italia. Ogni elemento cartografico ha una sua origine al centro. Può essere vista come una cilindrica diretta modificata:

La rappresentazione di Gauss
- La rappresentazione di Gauss: è una cilindrica inversa di tipo conforme. Può essere vista come una sfera all’interno di un cilindro tangente lungo un meridiano. Proiettando il meridiano di tangenza sul cilindro, esso viene rappresentato in vera grandezza ed è perpendicolare all’equatore; queste due rette saranno gli assi x-y. I restanti meridiani passano per i poli e sono simmetrici rispetto al meridiano centrale. La trasformazione è di tipo conforme e quindi i meridiani e i paralleli formano tra loro angoli retti. I paralleli, dovendo incontrare ad angolo retto i meridiani, formeranno curve sempre simmetriche rispetto al meridiano origine:

Quest’ultimo tipo di rappresentazione è stata molto importante nel sistema cartografico internazionale, in quanto ampiamente utilizzato in passato (dal 1948, quando ha sostituito la Sanson-Flamsteed). Si utilizzava come Datum Roma 40’ con ellissoide Internazionale di Hayford e punto di emanazione monte Mario. Il territorio nazionale è diviso in due fusi: Fuso Est e Fuso Ovest. Questo perché all’aumentare della longitudine, aumentano le deformazioni, quindi è stato fissato un range di 6° in cui le deformazioni risultano accettabili, facendo ruotare teoricamente di tale misura sull’asse di rotazione la Terra all’interno del cilindro. In particolare il fuso Ovest ha la sua origine (denominata falsa origine) al 9° meridiano da Greenwich e il Fuso Est al 15° meridiano da Greenwich.

Le coordinate sono espresse in metri e la longitudine viene espressa in coordinate Est (E) e la latitudine in coordinate Nord (N).
Le false origini, però non hanno valore zero, ma rispettivamente per la Ovest 1500 Km e per la Est 2520 Km per evitare valori negativi, inoltre i due fusi hanno una zona di sovrapposizione di 40 Km.
Inoltre i valori sono stati scelti per distinguere facilmente le coordinate del fuso Est dal fuso Ovest osservando semplicemente il valore del primo numero delle coordinate Est (1 per il fuso Ovest e 2 per il fuso Est). Il valore 2520 Km (e non 2500 Km come naturalmente atteso) è stato fissato per far in modo che, nella zona di sovrapposizione, le coordinate est del medesimo punto siano diverse oltre che nelle migliaia anche nelle decine di chilometri.

Invece la rappresentazione UTM (Universale Traversa Mercatore), che viene ancora oggi utilizzata, non è in effetti una nuova proiezione ma è sempre la rappresentazione di Gauss, in cui la falsa origine è fissata a 500Km per tutti i fusi, i quali hanno una ampiezza sempre di 6°, ed è di scala mondiale. La UTM viene associata al sistema geodetico ED50, o all’attuale WGS84, mentre la Gauss al sistema geodetico Roma40. L’Italia ricade nel 32°, 33° e alcune zone della Puglia nel 34° Fuso Nord e le false origini ricadono del fuso 32 e 33 sempre in corrispondenza dei meridiani 9 e 15 da Greenwich.

Riepilogando:
Datum geodetico = Mondo reale ==> Ellissoide
Proiezione = Ellissoide ==> Piano
Testo tratto da:
Il corso verte sulla definizione dei GIS-SIT e all’utilizzo del software open source QGIS e di ArcMap.
Propone l’avvicinamento ai temi citati attraverso l’utilizzo pratico dei software QGIS e ArcMap e un caso di studio sull’utilizzo: la creazione e preparazione di dati geografici informatizzati al fine della pubblicazione sulla piattaforma Web del progetto GeoRisk, creata da Geostru.
Il corso è un punto di partenza per chi vuole conoscere il mondo dei dati territoriali, spaziando tra vari argomenti come le nozioni sui database. Infatti un buon dato geografico non è solo un’entità grafica disposta nello spazio, ma è anche corredato da informazioni fondamentali alla sua classificazione e per una corretta analisi di Geoprocessing.




0 risposte su "Rappresentazione cartografica su un piano"